Brak powtarzalności wskazań
Pełna powtarzalność wskazań
Seria
Czujnik
Przetwornik
Miernik
Wyniki
Jednostka pomiarowa:
Wartości wskazywane
Wyczyść
Zapisz
Liczność serii
Średnia arytmetyczna wskazań
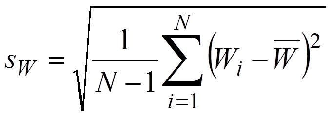
Liczbowe miary dokładności estymacji punktowej
Odchylenie standardowe eksperymentalne
Względne odchylenie standardowe eksperymentalne
%
ppm
Niepewność standardowa szacowana metodą typu A
Względna niepewność standardowa szacowana metodą typu A
%
ppm